0641-设计循环双端队列

Raphael Liu Lv10

设计实现双端队列。

实现 MyCircularDeque 类:

  • MyCircularDeque(int k) :构造函数,双端队列最大为 k
  • boolean insertFront():将一个元素添加到双端队列头部。 如果操作成功返回 true ,否则返回 false
  • boolean insertLast() :将一个元素添加到双端队列尾部。如果操作成功返回 true ,否则返回 false
  • boolean deleteFront() :从双端队列头部删除一个元素。 如果操作成功返回 true ,否则返回 false
  • boolean deleteLast() :从双端队列尾部删除一个元素。如果操作成功返回 true ,否则返回 false
  • int getFront() ):从双端队列头部获得一个元素。如果双端队列为空,返回 -1
  • int getRear() :获得双端队列的最后一个元素。 如果双端队列为空,返回 -1
  • boolean isEmpty() :若双端队列为空,则返回 true ,否则返回 false
  • boolean isFull() :若双端队列满了,则返回 true ,否则返回 false

示例 1:

**输入**
["MyCircularDeque", "insertLast", "insertLast", "insertFront", "insertFront", "getRear", "isFull", "deleteLast", "insertFront", "getFront"]
[[3], [1], [2], [3], [4], [], [], [], [4], []]
**输出**
[null, true, true, true, false, 2, true, true, true, 4]

**解释**
MyCircularDeque circularDeque = new MycircularDeque(3); // 设置容量大小为3
circularDeque.insertLast(1);			        // 返回 true
circularDeque.insertLast(2);			        // 返回 true
circularDeque.insertFront(3);			        // 返回 true
circularDeque.insertFront(4);			        // 已经满了,返回 false
circularDeque.getRear();  				// 返回 2
circularDeque.isFull();				        // 返回 true
circularDeque.deleteLast();			        // 返回 true
circularDeque.insertFront(4);			        // 返回 true
circularDeque.getFront();				// 返回 4
 

提示:

  • 1 <= k <= 1000
  • 0 <= value <= 1000
  • insertFront, insertLast, deleteFront, deleteLast, getFront, getRear, isEmpty, isFull 调用次数不大于 2000

方法一:数组

可以参考循环队列:「622. 设计循环队列 」,我们利用循环队列实现双端队列。在循环队列中的基础上,我们增加 insertFront 和 deleteFront 函数实现即可。根据循环队列的定义,队列判空的条件是 front}=\textit{rear,而队列判满的条件是 front} = (\textit{rear} + 1) \bmod \textit{capacity。

对于一个固定大小的数组,只要知道队尾 rear 与队首 front,即可计算出队列当前的长度:

(\textit{rear} - \textit{front} + \textit{capacity}) \bmod \textit{capacity}

循环双端队列与循环队列的属性一致:

  • elements:一个固定大小的数组,用于保存循环队列的元素。
  • capacity:循环队列的容量,即队列中最多可以容纳的元素数量。
  • front:队列首元素对应的数组的索引。
  • rear:队列尾元素对应的索引的下一个索引。

循环双端队列的接口方法如下:

  • MyCircularDeque(int k):初始化队列,同时 base 数组的空间初始化大小为 k + 1。front},\textit{rear 全部初始化为 0。
  • insertFront(int value):队列未满时,在队首插入一个元素。我们首先将队首 front 移动一个位置,更新队首索引为 front 更新为 (\textit{front} - 1 + \textit{capacity}) \bmod \textit{capacity。
  • insertLast(int value):队列未满时,在队列的尾部插入一个元素,并同时将队尾的索引 rear 更新为 (\textit{rear} + 1) \bmod \textit{capacity。
  • deleteFront():队列不为空时,从队首删除一个元素,并同时将队首的索引 front 更新为 (\textit{front} + 1) \bmod \textit{capacity。
  • deleteLast():队列不为空时,从队尾删除一个元素。并同时将队尾的索引 rear 更新为 (rear - 1 + capacity) \bmod \textit{capacity。
  • getFront():返回队首的元素,需要检测队列是否为空。
  • getRear():返回队尾的元素,需要检测队列是否为空。
  • isEmpty():检测队列是否为空,根据之前的定义只需判断 rear 是否等于 front。
  • isFull():检测队列是否已满,根据之前的定义只需判断 front 是否等于 (\textit{rear} + 1) \bmod \textit{capacity。
[sol1-Python3]
1
2
3
4
5
6
7
8
9
10
11
12
13
14
15
16
17
18
19
20
21
22
23
24
25
26
27
28
29
30
31
32
33
34
35
36
37
38
39
40
41
42
class MyCircularDeque:
def __init__(self, k: int):
self.front = self.rear = 0
self.elements = [0] * (k + 1)

def insertFront(self, value: int) -> bool:
if self.isFull():
return False
self.front = (self.front - 1) % len(self.elements)
self.elements[self.front] = value
return True

def insertLast(self, value: int) -> bool:
if self.isFull():
return False
self.elements[self.rear] = value
self.rear = (self.rear + 1) % len(self.elements)
return True

def deleteFront(self) -> bool:
if self.isEmpty():
return False
self.front = (self.front + 1) % len(self.elements)
return True

def deleteLast(self) -> bool:
if self.isEmpty():
return False
self.rear = (self.rear - 1) % len(self.elements)
return True

def getFront(self) -> int:
return -1 if self.isEmpty() else self.elements[self.front]

def getRear(self) -> int:
return -1 if self.isEmpty() else self.elements[(self.rear - 1) % len(self.elements)]

def isEmpty(self) -> bool:
return self.rear == self.front

def isFull(self) -> bool:
return (self.rear + 1) % len(self.elements) == self.front
[sol1-C++]
1
2
3
4
5
6
7
8
9
10
11
12
13
14
15
16
17
18
19
20
21
22
23
24
25
26
27
28
29
30
31
32
33
34
35
36
37
38
39
40
41
42
43
44
45
46
47
48
49
50
51
52
53
54
55
56
57
58
59
60
61
62
63
64
65
66
67
68
69
class MyCircularDeque {
private:
vector<int> elements;
int rear, front;
int capacity;

public:
MyCircularDeque(int k) {
capacity = k + 1;
rear = front = 0;
elements = vector<int>(k + 1);
}

bool insertFront(int value) {
if (isFull()) {
return false;
}
front = (front - 1 + capacity) % capacity;
elements[front] = value;
return true;
}

bool insertLast(int value) {
if (isFull()) {
return false;
}
elements[rear] = value;
rear = (rear + 1) % capacity;
return true;
}

bool deleteFront() {
if (isEmpty()) {
return false;
}
front = (front + 1) % capacity;
return true;
}

bool deleteLast() {
if (isEmpty()) {
return false;
}
rear = (rear - 1 + capacity) % capacity;
return true;
}

int getFront() {
if (isEmpty()) {
return -1;
}
return elements[front];
}

int getRear() {
if (isEmpty()) {
return -1;
}
return elements[(rear - 1 + capacity) % capacity];
}

bool isEmpty() {
return rear == front;
}

bool isFull() {
return (rear + 1) % capacity == front;
}
};
[sol1-Java]
1
2
3
4
5
6
7
8
9
10
11
12
13
14
15
16
17
18
19
20
21
22
23
24
25
26
27
28
29
30
31
32
33
34
35
36
37
38
39
40
41
42
43
44
45
46
47
48
49
50
51
52
53
54
55
56
57
58
59
60
61
62
63
64
65
66
67
class MyCircularDeque {
private int[] elements;
private int rear, front;
private int capacity;

public MyCircularDeque(int k) {
capacity = k + 1;
rear = front = 0;
elements = new int[k + 1];
}

public boolean insertFront(int value) {
if (isFull()) {
return false;
}
front = (front - 1 + capacity) % capacity;
elements[front] = value;
return true;
}

public boolean insertLast(int value) {
if (isFull()) {
return false;
}
elements[rear] = value;
rear = (rear + 1) % capacity;
return true;
}

public boolean deleteFront() {
if (isEmpty()) {
return false;
}
front = (front + 1) % capacity;
return true;
}

public boolean deleteLast() {
if (isEmpty()) {
return false;
}
rear = (rear - 1 + capacity) % capacity;
return true;
}

public int getFront() {
if (isEmpty()) {
return -1;
}
return elements[front];
}

public int getRear() {
if (isEmpty()) {
return -1;
}
return elements[(rear - 1 + capacity) % capacity];
}

public boolean isEmpty() {
return rear == front;
}

public boolean isFull() {
return (rear + 1) % capacity == front;
}
}
[sol1-C#]
1
2
3
4
5
6
7
8
9
10
11
12
13
14
15
16
17
18
19
20
21
22
23
24
25
26
27
28
29
30
31
32
33
34
35
36
37
38
39
40
41
42
43
44
45
46
47
48
49
50
51
52
53
54
55
56
57
58
59
60
61
62
63
64
65
66
67
public class MyCircularDeque {
private int[] elements;
private int rear, front;
private int capacity;

public MyCircularDeque(int k) {
capacity = k + 1;
rear = front = 0;
elements = new int[k + 1];
}

public bool InsertFront(int value) {
if (IsFull()) {
return false;
}
front = (front - 1 + capacity) % capacity;
elements[front] = value;
return true;
}

public bool InsertLast(int value) {
if (IsFull()) {
return false;
}
elements[rear] = value;
rear = (rear + 1) % capacity;
return true;
}

public bool DeleteFront() {
if (IsEmpty()) {
return false;
}
front = (front + 1) % capacity;
return true;
}

public bool DeleteLast() {
if (IsEmpty()) {
return false;
}
rear = (rear - 1 + capacity) % capacity;
return true;
}

public int GetFront() {
if (IsEmpty()) {
return -1;
}
return elements[front];
}

public int GetRear() {
if (IsEmpty()) {
return -1;
}
return elements[(rear - 1 + capacity) % capacity];
}

public bool IsEmpty() {
return rear == front;
}

public bool IsFull() {
return (rear + 1) % capacity == front;
}
}
[sol1-C]
1
2
3
4
5
6
7
8
9
10
11
12
13
14
15
16
17
18
19
20
21
22
23
24
25
26
27
28
29
30
31
32
33
34
35
36
37
38
39
40
41
42
43
44
45
46
47
48
49
50
51
52
53
54
55
56
57
58
59
60
61
62
63
64
65
66
67
68
69
70
71
72
73
74
typedef struct {
int *elements;
int rear, front;
int capacity;
} MyCircularDeque;

MyCircularDeque* myCircularDequeCreate(int k) {
MyCircularDeque *obj = (MyCircularDeque *)malloc(sizeof(MyCircularDeque));
obj->capacity = k + 1;
obj->rear = obj->front = 0;
obj->elements = (int *)malloc(sizeof(int) * obj->capacity);
return obj;
}

bool myCircularDequeInsertFront(MyCircularDeque* obj, int value) {
if ((obj->rear + 1) % obj->capacity == obj->front) {
return false;
}
obj->front = (obj->front - 1 + obj->capacity) % obj->capacity;
obj->elements[obj->front] = value;
return true;
}

bool myCircularDequeInsertLast(MyCircularDeque* obj, int value) {
if ((obj->rear + 1) % obj->capacity == obj->front) {
return false;
}
obj->elements[obj->rear] = value;
obj->rear = (obj->rear + 1) % obj->capacity;
return true;
}

bool myCircularDequeDeleteFront(MyCircularDeque* obj) {
if (obj->rear == obj->front) {
return false;
}
obj->front = (obj->front + 1) % obj->capacity;
return true;
}

bool myCircularDequeDeleteLast(MyCircularDeque* obj) {
if (obj->rear == obj->front) {
return false;
}
obj->rear = (obj->rear - 1 + obj->capacity) % obj->capacity;
return true;
}

int myCircularDequeGetFront(MyCircularDeque* obj) {
if (obj->rear == obj->front) {
return -1;
}
return obj->elements[obj->front];
}

int myCircularDequeGetRear(MyCircularDeque* obj) {
if (obj->rear == obj->front) {
return -1;
}
return obj->elements[(obj->rear - 1 + obj->capacity) % obj->capacity];
}

bool myCircularDequeIsEmpty(MyCircularDeque* obj) {
return obj->rear == obj->front;
}

bool myCircularDequeIsFull(MyCircularDeque* obj) {
return (obj->rear + 1) % obj->capacity == obj->front;
}

void myCircularDequeFree(MyCircularDeque* obj) {
free(obj->elements);
free(obj);
}
[sol1-JavaScript]
1
2
3
4
5
6
7
8
9
10
11
12
13
14
15
16
17
18
19
20
21
22
23
24
25
26
27
28
29
30
31
32
33
34
35
36
37
38
39
40
41
42
43
44
45
46
47
48
49
50
51
52
53
54
55
56
57
58
59
60
61
var MyCircularDeque = function(k) {
this.capacity = k + 1;
this.rear = this.front = 0;
this.elements = new Array(k + 1).fill(0);
};

MyCircularDeque.prototype.insertFront = function(value) {
if (this.isFull()) {
return false;
}
this.front = (this.front - 1 + this.capacity) % this.capacity;
this.elements[this.front] = value;
return true;
};

MyCircularDeque.prototype.insertLast = function(value) {
if (this.isFull()) {
return false;
}
this.elements[this.rear] = value;
this.rear = (this.rear + 1) % this.capacity;
return true;
};

MyCircularDeque.prototype.deleteFront = function() {
if (this.isEmpty()) {
return false;
}
this.front = (this.front + 1) % this.capacity;
return true;
};

MyCircularDeque.prototype.deleteLast = function() {
if (this.isEmpty()) {
return false;
}
this.rear = (this.rear - 1 + this.capacity) % this.capacity;
return true;
};

MyCircularDeque.prototype.getFront = function() {
if (this.isEmpty()) {
return -1;
}
return this.elements[this.front];
};

MyCircularDeque.prototype.getRear = function() {
if (this.isEmpty()) {
return -1;
}
return this.elements[(this.rear - 1 + this.capacity) % this.capacity];
};

MyCircularDeque.prototype.isEmpty = function() {
return this.rear == this.front;
};

MyCircularDeque.prototype.isFull = function() {
return (this.rear + 1) % this.capacity == this.front;
};
[sol1-Golang]
1
2
3
4
5
6
7
8
9
10
11
12
13
14
15
16
17
18
19
20
21
22
23
24
25
26
27
28
29
30
31
32
33
34
35
36
37
38
39
40
41
42
43
44
45
46
47
48
49
50
51
52
53
54
55
56
57
58
59
60
61
62
63
64
type MyCircularDeque struct {
front, rear int
elements []int
}

func Constructor(k int) MyCircularDeque {
return MyCircularDeque{elements: make([]int, k+1)}
}

func (q *MyCircularDeque) InsertFront(value int) bool {
if q.IsFull() {
return false
}
q.front = (q.front - 1 + len(q.elements)) % len(q.elements)
q.elements[q.front] = value
return true
}

func (q *MyCircularDeque) InsertLast(value int) bool {
if q.IsFull() {
return false
}
q.elements[q.rear] = value
q.rear = (q.rear + 1) % len(q.elements)
return true
}

func (q *MyCircularDeque) DeleteFront() bool {
if q.IsEmpty() {
return false
}
q.front = (q.front + 1) % len(q.elements)
return true
}

func (q *MyCircularDeque) DeleteLast() bool {
if q.IsEmpty() {
return false
}
q.rear = (q.rear - 1 + len(q.elements)) % len(q.elements)
return true
}

func (q MyCircularDeque) GetFront() int {
if q.IsEmpty() {
return -1
}
return q.elements[q.front]
}

func (q MyCircularDeque) GetRear() int {
if q.IsEmpty() {
return -1
}
return q.elements[(q.rear-1+len(q.elements))%len(q.elements)]
}

func (q MyCircularDeque) IsEmpty() bool {
return q.rear == q.front
}

func (q MyCircularDeque) IsFull() bool {
return (q.rear+1)%len(q.elements) == q.front
}

复杂度分析

  • 时间复杂度:初始化和每项操作的时间复杂度均为 O(1)。

  • 空间复杂度:O(k),其中 k 为给定的队列元素数目。

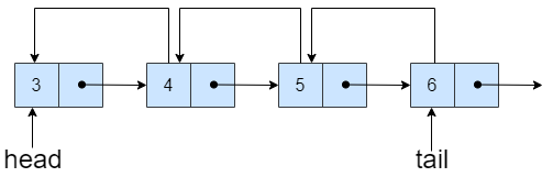
方法二:链表

我们同样可以使用双向链表来模拟双端队列,实现双端队列队首与队尾元素的添加、删除。双向链表实现比较简单,双向链表支持 O(1) 时间复杂度内在指定节点的前后插入新的节点或者删除新的节点。

1

循环双端队列的属性如下:

  • head:队列的头节点;
  • tail:队列的尾节点
  • capacity:队列的容量大小。
  • size:队列当前的元素数量。

循环双端队列的接口方法如下:

  • MyCircularDeque(int k):初始化队列,同时初始化队列元素数量 size 为 0。head},\textit{tail 初始化为空。
  • insertFront(int value):队列未满时,在队首头结点 head 之前插入一个新的节点,并更新 head,并更新 size。
  • insertLast(int value):队列未满时,在队w尾节点 tail 之后插入一个新的节点,并更新 tail,并更新 size。
  • deleteFront():队列不为空时,删除头结点 head,并更新 head 为 head 的后一个节点,并更新 size。
  • deleteLast():队列不为空时,删除尾结点 tail,并更新 tail 为 tail 的前一个节点,并更新 size。
  • getFront():返回队首节点指向的值,需要检测队列是否为空。
  • getRear():返回队尾节点指向的值,需要检测队列是否为空。
  • isEmpty():检测当前 size 是否为 0。
  • isFull():检测当前 size 是否为 capacity。
[sol2-Python3]
1
2
3
4
5
6
7
8
9
10
11
12
13
14
15
16
17
18
19
20
21
22
23
24
25
26
27
28
29
30
31
32
33
34
35
36
37
38
39
40
41
42
43
44
45
46
47
48
49
50
51
52
53
54
55
56
57
58
59
60
61
62
63
64
65
66
67
68
69
70
71
class Node:
__slots__ = 'prev', 'next', 'val'

def __init__(self, val):
self.prev = self.next = None
self.val = val


class MyCircularDeque:
def __init__(self, k: int):
self.head = self.tail = None
self.capacity = k
self.size = 0

def insertFront(self, value: int) -> bool:
if self.isFull():
return False
node = Node(value)
if self.isEmpty():
self.head = node
self.tail = node
else:
node.next = self.head
self.head.prev = node
self.head = node
self.size += 1
return True

def insertLast(self, value: int) -> bool:
if self.isFull():
return False
node = Node(value)
if self.isEmpty():
self.head = node
self.tail = node
else:
self.tail.next = node
node.prev = self.tail
self.tail = node
self.size += 1
return True

def deleteFront(self) -> bool:
if self.isEmpty():
return False
self.head = self.head.next
if self.head:
self.head.prev = None
self.size -= 1
return True

def deleteLast(self) -> bool:
if self.isEmpty():
return False
self.tail = self.tail.prev
if self.tail:
self.tail.next = None
self.size -= 1
return True

def getFront(self) -> int:
return -1 if self.isEmpty() else self.head.val

def getRear(self) -> int:
return -1 if self.isEmpty() else self.tail.val

def isEmpty(self) -> bool:
return self.size == 0

def isFull(self) -> bool:
return self.size == self.capacity
[sol2-C++]
1
2
3
4
5
6
7
8
9
10
11
12
13
14
15
16
17
18
19
20
21
22
23
24
25
26
27
28
29
30
31
32
33
34
35
36
37
38
39
40
41
42
43
44
45
46
47
48
49
50
51
52
53
54
55
56
57
58
59
60
61
62
63
64
65
66
67
68
69
70
71
72
73
74
75
76
77
78
79
80
81
82
83
84
85
86
87
88
89
90
91
92
93
94
95
96
97
98
99
100
101
struct DLinkListNode {
int val;
DLinkListNode *prev, *next;
DLinkListNode(int _val): val(_val), prev(nullptr), next(nullptr) {

}
};

class MyCircularDeque {
private:
DLinkListNode *head, *tail;
int capacity;
int size;

public:
MyCircularDeque(int k): capacity(k), size(0), head(nullptr), tail(nullptr) {

}

bool insertFront(int value) {
if (size == capacity) {
return false;
}
DLinkListNode *node = new DLinkListNode(value);
if (size == 0) {
head = tail = node;
} else {
node->next = head;
head->prev = node;
head = node;
}
size++;
return true;
}

bool insertLast(int value) {
if (size == capacity) {
return false;
}
DLinkListNode *node = new DLinkListNode(value);
if (size == 0) {
head = tail = node;
} else {
tail->next = node;
node->prev = tail;
tail = node;
}
size++;
return true;
}

bool deleteFront() {
if (size == 0) {
return false;
}
DLinkListNode *node = head;
head = head->next;
if (head) {
head->prev = nullptr;
}
delete node;
size--;
return true;
}

bool deleteLast() {
if (size == 0) {
return false;
}
DLinkListNode *node = tail;
tail = tail->prev;
if (tail) {
tail->next = nullptr;
}
delete node;
size--;
return true;
}

int getFront() {
if (size == 0) {
return -1;
}
return head->val;
}

int getRear() {
if (size == 0) {
return -1;
}
return tail->val;
}

bool isEmpty() {
return size == 0;
}

bool isFull() {
return size == capacity;
}
};
[sol2-Java]
1
2
3
4
5
6
7
8
9
10
11
12
13
14
15
16
17
18
19
20
21
22
23
24
25
26
27
28
29
30
31
32
33
34
35
36
37
38
39
40
41
42
43
44
45
46
47
48
49
50
51
52
53
54
55
56
57
58
59
60
61
62
63
64
65
66
67
68
69
70
71
72
73
74
75
76
77
78
79
80
81
82
83
84
85
86
87
88
89
90
91
92
93
94
95
96
97
class MyCircularDeque {
private class DLinkListNode {
int val;
DLinkListNode prev, next;

DLinkListNode(int val) {
this.val = val;
}
}

private DLinkListNode head, tail;
private int capacity;
private int size;

public MyCircularDeque(int k) {
capacity = k;
size = 0;
}

public boolean insertFront(int value) {
if (size == capacity) {
return false;
}
DLinkListNode node = new DLinkListNode(value);
if (size == 0) {
head = tail = node;
} else {
node.next = head;
head.prev = node;
head = node;
}
size++;
return true;
}

public boolean insertLast(int value) {
if (size == capacity) {
return false;
}
DLinkListNode node = new DLinkListNode(value);
if (size == 0) {
head = tail = node;
} else {
tail.next = node;
node.prev = tail;
tail = node;
}
size++;
return true;
}

public boolean deleteFront() {
if (size == 0) {
return false;
}
head = head.next;
if (head != null) {
head.prev = null;
}
size--;
return true;
}

public boolean deleteLast() {
if (size == 0) {
return false;
}
tail = tail.prev;
if (tail != null) {
tail.next = null;
}
size--;
return true;
}

public int getFront() {
if (size == 0) {
return -1;
}
return head.val;
}

public int getRear() {
if (size == 0) {
return -1;
}
return tail.val;
}

public boolean isEmpty() {
return size == 0;
}

public boolean isFull() {
return size == capacity;
}
}
[sol2-C#]
1
2
3
4
5
6
7
8
9
10
11
12
13
14
15
16
17
18
19
20
21
22
23
24
25
26
27
28
29
30
31
32
33
34
35
36
37
38
39
40
41
42
43
44
45
46
47
48
49
50
51
52
53
54
55
56
57
58
59
60
61
62
63
64
65
66
67
68
69
70
71
72
73
74
75
76
77
78
79
80
81
82
83
84
85
86
87
88
89
90
91
92
93
94
95
96
97
public class MyCircularDeque {
private class DLinkListNode {
public int val;
public DLinkListNode prev, next;

public DLinkListNode(int val) {
this.val = val;
}
}

private DLinkListNode head, tail;
private int capacity;
private int size;

public MyCircularDeque(int k) {
capacity = k;
size = 0;
}

public bool InsertFront(int value) {
if (size == capacity) {
return false;
}
DLinkListNode node = new DLinkListNode(value);
if (size == 0) {
head = tail = node;
} else {
node.next = head;
head.prev = node;
head = node;
}
size++;
return true;
}

public bool InsertLast(int value) {
if (size == capacity) {
return false;
}
DLinkListNode node = new DLinkListNode(value);
if (size == 0) {
head = tail = node;
} else {
tail.next = node;
node.prev = tail;
tail = node;
}
size++;
return true;
}

public bool DeleteFront() {
if (size == 0) {
return false;
}
head = head.next;
if (head != null) {
head.prev = null;
}
size--;
return true;
}

public bool DeleteLast() {
if (size == 0) {
return false;
}
tail = tail.prev;
if (tail != null) {
tail.next = null;
}
size--;
return true;
}

public int GetFront() {
if (size == 0) {
return -1;
}
return head.val;
}

public int GetRear() {
if (size == 0) {
return -1;
}
return tail.val;
}

public bool IsEmpty() {
return size == 0;
}

public bool IsFull() {
return size == capacity;
}
}
[sol2-C]
1
2
3
4
5
6
7
8
9
10
11
12
13
14
15
16
17
18
19
20
21
22
23
24
25
26
27
28
29
30
31
32
33
34
35
36
37
38
39
40
41
42
43
44
45
46
47
48
49
50
51
52
53
54
55
56
57
58
59
60
61
62
63
64
65
66
67
68
69
70
71
72
73
74
75
76
77
78
79
80
81
82
83
84
85
86
87
88
89
90
91
92
93
94
95
96
97
98
99
100
101
102
103
104
105
106
107
108
109
110
111
112
113
114
115
116
117
typedef struct DLinkListNode {
int val;
struct DLinkListNode *prev, *next;
} DLinkListNode;

typedef struct {
DLinkListNode *head, *tail;
int capacity;
int size;
} MyCircularDeque;

DLinkListNode * dLinkListNodeCreat(int val) {
DLinkListNode *obj = (DLinkListNode *)malloc(sizeof(DLinkListNode));
obj->val = val;
obj->prev = NULL;
obj->next = NULL;
return obj;
}

MyCircularDeque* myCircularDequeCreate(int k) {
MyCircularDeque *obj = (MyCircularDeque *)malloc(sizeof(MyCircularDeque));
obj->capacity = k;
obj->size = 0;
obj->head = obj->tail = NULL;
return obj;
}

bool myCircularDequeInsertFront(MyCircularDeque* obj, int value) {
if (obj->size == obj->capacity) {
return false;
}
DLinkListNode *node = dLinkListNodeCreat(value);
if (obj->size == 0) {
obj->head = obj->tail = node;
} else {
node->next = obj->head;
obj->head->prev = node;
obj->head = node;
}
obj->size++;
return true;
}

bool myCircularDequeInsertLast(MyCircularDeque* obj, int value) {
if (obj->size == obj->capacity) {
return false;
}
DLinkListNode *node = dLinkListNodeCreat(value);
if (obj->size == 0) {
obj->head = obj->tail = node;
} else {
obj->tail->next = node;
node->prev = obj->tail;
obj->tail = node;
}
obj->size++;
return true;
}

bool myCircularDequeDeleteFront(MyCircularDeque* obj) {
if (obj->size == 0) {
return false;
}
DLinkListNode *node = obj->head;
obj->head = obj->head->next;
if (obj->head) {
obj->head->prev = NULL;
}
free(node);
obj->size--;
return true;
}

bool myCircularDequeDeleteLast(MyCircularDeque* obj) {
if (obj->size == 0) {
return false;
}
DLinkListNode *node = obj->tail;
obj->tail = obj->tail->prev;
if (obj->tail) {
obj->tail->next = NULL;
}
free(node);
obj->size--;
return true;
}

int myCircularDequeGetFront(MyCircularDeque* obj) {
if (obj->size == 0) {
return -1;
}
return obj->head->val;
}

int myCircularDequeGetRear(MyCircularDeque* obj) {
if (obj->size == 0) {
return -1;
}
return obj->tail->val;
}

bool myCircularDequeIsEmpty(MyCircularDeque* obj) {
return obj->size == 0;
}

bool myCircularDequeIsFull(MyCircularDeque* obj) {
return obj->size == obj->capacity;
}

void myCircularDequeFree(MyCircularDeque* obj) {
for (DLinkListNode *curr = obj->head; curr;) {
DLinkListNode *node = curr;
curr = curr->next;
free(node);
}
free(obj);
}
[sol2-Golang]
1
2
3
4
5
6
7
8
9
10
11
12
13
14
15
16
17
18
19
20
21
22
23
24
25
26
27
28
29
30
31
32
33
34
35
36
37
38
39
40
41
42
43
44
45
46
47
48
49
50
51
52
53
54
55
56
57
58
59
60
61
62
63
64
65
66
67
68
69
70
71
72
73
74
75
76
77
78
79
80
81
82
83
84
85
86
87
88
89
90
91
92
93
type node struct {
prev, next *node
val int
}

type MyCircularDeque struct {
head, tail *node
capacity, size int
}

func Constructor(k int) MyCircularDeque {
return MyCircularDeque{capacity: k}
}

func (q *MyCircularDeque) InsertFront(value int) bool {
if q.IsFull() {
return false
}
node := &node{val: value}
if q.IsEmpty() {
q.head = node
q.tail = node
} else {
node.next = q.head
q.head.prev = node
q.head = node
}
q.size++
return true
}

func (q *MyCircularDeque) InsertLast(value int) bool {
if q.IsFull() {
return false
}
node := &node{val: value}
if q.IsEmpty() {
q.head = node
q.tail = node
} else {
q.tail.next = node
node.prev = q.tail
q.tail = node
}
q.size++
return true
}

func (q *MyCircularDeque) DeleteFront() bool {
if q.IsEmpty() {
return false
}
q.head = q.head.next
if q.head != nil {
q.head.prev = nil
}
q.size--
return true
}

func (q *MyCircularDeque) DeleteLast() bool {
if q.IsEmpty() {
return false
}
q.tail = q.tail.prev
if q.tail != nil {
q.tail.next = nil
}
q.size--
return true
}

func (q MyCircularDeque) GetFront() int {
if q.IsEmpty() {
return -1
}
return q.head.val
}

func (q MyCircularDeque) GetRear() int {
if q.IsEmpty() {
return -1
}
return q.tail.val
}

func (q MyCircularDeque) IsEmpty() bool {
return q.size == 0
}

func (q MyCircularDeque) IsFull() bool {
return q.size == q.capacity
}

复杂度分析

  • 时间复杂度:初始化和每项操作的时间复杂度均为 O(1)。

  • 空间复杂度:O(k),其中 k 为给定的队列元素数目。

 Comments
On this page
0641-设计循环双端队列