LCP 26-导航装置
小扣参加的秋日市集景区共有 N 个景点,景点编号为 1~N。景点内设有 N-1 条双向道路,使所有景点形成了一个二叉树结构,根结点记为root,景点编号即为节点值。
由于秋日市集景区的结构特殊,游客很容易迷路,主办方决定在景区的若干个景点设置导航装置,按照所在景点编号升序排列后定义装置编号为 1 ~
M。导航装置向游客发送数据,数据内容为列表 [游客与装置 1 的相对距离,游客与装置 2 的相对距离,...,游客与装置 M 的相对距离]。由于游客根据导航装置发送的信息来确认位置,因此主办方需保证游客在每个景点接收的数据信息皆不相同。请返回主办方最少需要设置多少个导航装置。
示例 1: >输入:root = [1,2,null,3,4] > >输出:2 > >解释:在景点 1、3 或景点 1、4 或景点 3、4
设置导航装置。 > >{:height=”250px”} 示例 2: >输入:root = [1,2,3,4] > >输出:1 >
解释:在景点 3、4 设置导航装置皆可。 > >{:height=”200px”} 提示: -2 <= N <= 50000- 二叉树的非空节点值为1~N的一个排列。
解题思路
算法思路
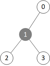
观察一个 “三叉节点”(既有父节点又有两个子节点的节点),如下图中的节点 1:
我们发现,如果只在节点 0 部署装置,则无法区分 2、3;如果在节点 2 部署装置,则无法区分 0、3;如果在节点 3 部署装置,则无法区分 0、2。(部署在节点 1 更不行,三个都区分不了)
也就是说,一个“三叉节点” 的 3 个 “子树” (把父节点也算上)中,至少有 2 个有导航装置。
有了这个结论,我们看看是否能用万能的 dfs 来解题。但很快就有一个问题,当 dfs 到某个节点时,我们并不知道其 父节点 那个子树是否有导航装置。
那么怎么办呢?可以 先假设父节点方向 有 导航装置,然后进行 dfs。
定义函数 dfs(node) 的返回值:节点 node 所在的子树中,是否 放置了 导航装置。dfs 时:
如果一个节点是叶子节点(或者 null),则我们先暂时不放导航装置,返回 0。
如果一个节点是“三叉节点”(拥有左、右两个子节点和父节点),且左、右两个子节点都 没有 导航装置(dfs 返回 0),那么我们 必须 在左右两个子树中,至少一个放置导航装置(至于放到哪个子树,我们不关心),答案 +1。然后函数返回 1,表明该节点的子树中,放置了导航装置。
如果 dfs 时,发现 dfs(left) 或 dfs(right) 返回 1 时,则证明左子树或者右子树中,至少有 1 个有导航装置,那么再加上 父节点方向 的导航装置(根据假设),有两个够用了,于是不用增加答案。但是函数仍然返回 1,代表该节点的子树中,放置了导航装置。
我们还可以发现:
- 如果一个节点 node(及其下方的子树)不是一条链(包含三叉节点),则 dfs(node) 一定返回 1;
- 反之,dfs(node) 一定返回 0,并且 dfs(node) 不会增加答案。
好了,不要忘了我们之前假设 父节点方向 有导航装置。那么当 dfs 结束后,还需要重新检查一番。
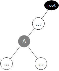
如果根节点是一个 “叶子” 节点(即只有 左/右 一棵子树),那么我们需要检测 离根节点最近的 三叉节点(下图中的节点 A):
- 如果该三叉节点 A 的左右两棵子树中,都包含导航装置,则节点 A 无需在父节点方向上增加导航装置。此外,节点 A 的左子树的节点的父节点方向(也就是外部)也有导航装置(在节点 A 的右子树中),右子树同理,故无需增加答案。
- 否则,需要再在根节点上加一个导航装置。

如果根节点有两棵子树,则分三种情况:
- 如果根节点的两棵子树都包含三叉节点(此时 dfs(l) 和 dfs(r) 都会返回 1),如下图中的 (a) 情况,则节点 A 和 节点 B 下方的子树中都会放置导航装置,因此节点 A (及其子节点)的父节点方向有导航装置(在根节点的另一棵子树中);节点 B 同理,因此无需增加答案。
- 如果根节点的两棵子树之一包含三叉节点(此时 dfs(l) 和 dfs(r) 只有一个返回 1),另一棵子树是一条链,如下图中的 (b) 情况,我们注意到,这种情况和 “根节点只有 1 棵子树” 的情况并没有本质不同(因为节点 A 的父节点方向的形状都是一条链,都没有放导航装置),故判断逻辑也是一样的:判断距离根节点最近的三叉节点 A 的左右两棵子树中是否都有导航装置。
- 如果根节点的两棵子树都是一条链(此时 dfs(l) 和 dfs(r) 都返回 0),则整棵树是一条链,因此总共需要 1 个导航装置;而此时因为 dfs(l) 和 dfs(r) 都不会增加答案,故最后也需要给答案 +1。

代码中 变量 s 就记录了距根节点最近的三叉节点 是否 子树都含有导航装置。
s 的初值设为 1,因为如果树是一条链,则 s 的值不会改变,而这种情况最终答案还是要 +1 的。
代码
1 | class Solution { |
时间、空间复杂度:O(N)。
想要证明的往下看
证明:如果树不是一条链,在最优化导航装置的位置的前提下,能够区分树中所有节点的 充分必要条件 是:所有三叉节点的 3 个子树中,至少有 2 个子树中有导航装置。
(如果树是一条链,则需要 1 个导航装置)
一、充分性。 我们任取两个节点。有 2 种可能的情况:
两个节点在同一路径上(这意味着两个节点之间没有三叉节点), 举例如图所示,选取了节点 2 和节点 4。

三叉节点 1 至少有两个子树中有装置, 5 和 6 上至少有一个。而 5 或 6 上的装置都能区分节点 2 和 4。如果两个节点不在同一条链上,那它们一定位于某一三叉节点的不同子树中。这样,其中一个节点所在的子树中一定含有导航装置。我们设这个节点为节点 x,另一个节点为节点 y,导航装置在节点 D 上。具体也分两种情况。
情形一:节点 x 所在的子树是一条链,不包含三叉节点,如下图所示,节点 x 在三叉节点 A 的子树中。
此时,将导航装置 D 放在 x 所在叶子节点,则 D 与 x,y 的距离一定不同。
情形二:节点 x 所在的子树不是一条链,意味着它还有子树,如下图所示。
此时,三叉节点 B 右侧的两个子树中至少有一个包含导航装置。而这个导航装置距离 x 一定比 y 更近。综上所述,我们证明了:如果每个三叉节点的 3 个子树中,至少有 2 个中有装置,则存在一种方案,使任何两点都能够得到区分。
二、必要性。 如果某三叉节点只有 0 个或 1 个子树中包含导航装置,则一定存在两点不能被区分,如下图中的 x 和 y。




